偏 微分 方程式 変数 分離





2階偏微分方程式の問題です 変数分離を用いて解くのですが 高校数学に関する質問 勉強質問サイト

2階偏微分方程式の問題です 変数分離を用いて解くのですが 高校数学に関する質問 勉強質問サイト

2階偏微分方程式の問題です 変数分離を用いて解くのですが 高校数学に関する質問 勉強質問サイト

2階偏微分方程式の問題です 変数分離を用いて解くのですが 高校数学に関する質問 勉強質問サイト

Hsjoihs On Twitter 変数分離を使わずに偏微分方程式 を解くのが如何に苦しく不毛であるか ということを説明するために 苦しく不毛な方法で偏微分方程式を解いており 苦しい

Hsjoihs On Twitter 変数分離を使わずに偏微分方程式 を解くのが如何に苦しく不毛であるか ということを説明するために 苦しく不毛な方法で偏微分方程式を解いており 苦しい

2階偏微分方程式の問題です 変数分離を用いて解くのですが 高校数学に関する質問 勉強質問サイト

2階偏微分方程式の問題です 変数分離を用いて解くのですが 高校数学に関する質問 勉強質問サイト

退職教授の見果てぬ夢 微分方程式講義 2015年版 I

退職教授の見果てぬ夢 微分方程式講義 2015年版 I

1階の変数分離形の微分方程式 数学 大学 に関する質問 勉強質問サイト

1階の変数分離形の微分方程式 数学 大学 に関する質問 勉強質問サイト

1階の変数分離形の微分方程式 数学 大学 に関する質問 勉強質問サイト

偏微分方程式と波動方程式の一般解を解いてください 分からなくて困っ 数学 教えて Goo

偏微分方程式と波動方程式の一般解を解いてください 分からなくて困っ 数学 教えて Goo

2階偏微分方程式の問題です 変数分離を用いて解くのですが 高校数学に関する質問 勉強質問サイト

2階偏微分方程式の問題です 変数分離を用いて解くのですが 高校数学に関する質問 勉強質問サイト

偏微分方程式 Partial Differential Equation Japaneseclass Jp

偏微分方程式 Partial Differential Equation Japaneseclass Jp

1の解法が全く分かりません P 0 Q 1と代 数学 大学 に関する質問 勉強質問サイト

1の解法が全く分かりません P 0 Q 1と代 数学 大学 に関する質問 勉強質問サイト

偏微分方程式の積分がわかりません 写真の通りに問題を解いた後 参 物理学 教えて Goo

偏微分方程式の積分がわかりません 写真の通りに問題を解いた後 参 物理学 教えて Goo

偏微分方程式の解き方について質問で 下の問2です Ht Yahoo 知恵袋

偏微分方程式の解き方について質問で 下の問2です Ht Yahoo 知恵袋

偏微分の変形 数学 大学 に関する質問 勉強質問サイト

偏微分の変形 数学 大学 に関する質問 勉強質問サイト

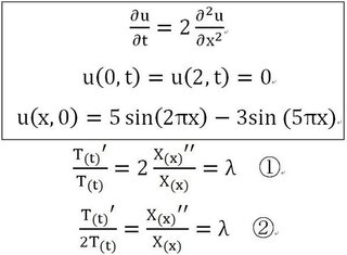
現在 フーリエ級数を用いて 偏微分方程式を解く問題をしています Yahoo 知恵袋

現在 フーリエ級数を用いて 偏微分方程式を解く問題をしています Yahoo 知恵袋

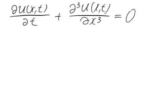
写真の偏微分方程式を変数分離で解きたいのですが 定数lの立方根が出てきて Yahoo 知恵袋

写真の偏微分方程式を変数分離で解きたいのですが 定数lの立方根が出てきて Yahoo 知恵袋

Http Www Ocw Titech Ac Jp Index Php Module General Action Download File 201801975 16 0 125 Pdf Type Cal Jwc 201801975

Http Www Ocw Titech Ac Jp Index Php Module General Action Download File 201801975 16 0 125 Pdf Type Cal Jwc 201801975

完全微分方程式1 2変数関数の偏微分と微分 身勝手な主張

完全微分方程式1 2変数関数の偏微分と微分 身勝手な主張

微分方程式に関する質問 2ページ 勉強質問サイト

微分方程式に関する質問 2ページ 勉強質問サイト

微分方程式 星の本棚

微分方程式 星の本棚

偏微分方程式の解き方

偏微分方程式の解き方

Source : pinterest.com