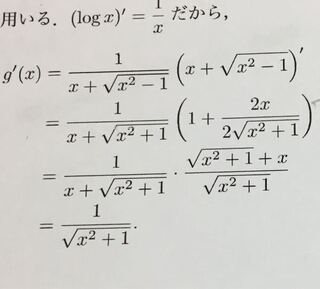
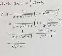
Log X X 2 1 微分





G X Log X X 2 1 の微分について 何故二行目から Yahoo 知恵袋

G X Log X X 2 1 の微分について 何故二行目から Yahoo 知恵袋

微分の問題です Log X 2 Y 2のびぶんはどうなります Yahoo 知恵袋

微分の問題です Log X 2 Y 2のびぶんはどうなります Yahoo 知恵袋

数学の問題です 問 対数微分法によって次の関数を微分せよ Y X 1 数学 教えて Goo

数学の問題です 問 対数微分法によって次の関数を微分せよ Y X 1 数学 教えて Goo

高校数学 対数関数 Y Logx X のグラフ 受験の月

高校数学 対数関数 Y Logx X のグラフ 受験の月

数学 微分の質問です Okwave

数学 微分の質問です Okwave

微分の問題です 答えは2 Logx 数学 大学 に関する質問 勉強質問サイト

微分の問題です 答えは2 Logx 数学 大学 に関する質問 勉強質問サイト

微分の問題です 答えは2 Logx 数学 大学 に関する質問 勉強質問サイト

T X X 2 1 に置換するやり方で 1 2 X X 2 1 Log X Clear

T X X 2 1 に置換するやり方で 1 2 X X 2 1 Log X Clear

微分の問題です 答えは2 Logx 数学 大学 に関する質問 勉強質問サイト

微分の問題です 答えは2 Logx 数学 大学 に関する質問 勉強質問サイト

高校数学 対数関数 Y X Logx のグラフ 受験の月

高校数学 対数関数 Y X Logx のグラフ 受験の月

2020年のベスト 1ルート1 X2 積分

2020年のベスト 1ルート1 X2 積分

Kadai78

Kadai78

この線を引いているところがわからないです Xかけるlog X 1 X 2 Yahoo 知恵袋

この線を引いているところがわからないです Xかけるlog X 1 X 2 Yahoo 知恵袋

数学 微分 グラフ 高校数学に関する質問 勉強質問サイト

数学 微分 グラフ 高校数学に関する質問 勉強質問サイト

T X X 2 1 に置換するやり方で 1 2 X X 2 1 Log X Clear

T X X 2 1 に置換するやり方で 1 2 X X 2 1 Log X Clear

Lnx求微分 Ln X的积分 Ln如何积分 Ln微分公式

Lnx求微分 Ln X的积分 Ln如何积分 Ln微分公式

微分の公式一覧

微分の公式一覧

優れた 1ルート1 X2 積分 画像ブログ

優れた 1ルート1 X2 積分 画像ブログ

自主ゼミ 6回目

自主ゼミ 6回目

微分の公式一覧 アタリマエ

微分の公式一覧 アタリマエ

Logxの不定積分

Logxの不定積分

Source : pinterest.com